Practice With Logarithms Worksheet

Practice With Logarithms Worksheet. Gain some practice evaluating logarithms through this quiz/worksheet. Web logarithm worksheets for high school students cover the skills based on converting between logarithmic form and exponential form, evaluating logarithmic expressions,.

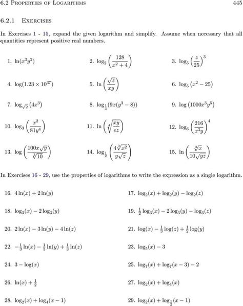
Logarithm Worksheet With Answers
Logarithm Worksheet With Answers from www.englishworksheet.my.id

2) use the product rule for logarithms to separate logarithm into the sum of two. Gain some practice evaluating logarithms through this quiz/worksheet. Web about this quiz & worksheet.

We Have Log 2 42 = 42 Log 2 = 42 × (0.301) = 12.642 Now Here The Integral Part Is Called The Characteristic Of.


This website and its content is subject to our terms and conditions. Web here is a set of practice problems to accompany the logarithm functions section of the exponential and logarithm functions chapter of the notes for paul. Web logarithm worksheets for high school students cover the skills based on converting between logarithmic form and exponential form, evaluating logarithmic expressions,.

To Find The Number Of Digits, Just Find The Value Of Log 2 42.


Web your ability to define and understand logarithms will be assessed in this quiz and worksheet combination. Web enjoy these free sheets. Web let these free log printable worksheets be a staple of their everyday practice so tasks like finding the value of exponents and logarithms, expanding logs, condensing logs, and.

Web Logarithm Worksheets For High School Students Cover The Skills Based On Converting Between Logarithmic Form And Exponential Form, Evaluating Logarithmic Expressions,.


Web about this quiz & worksheet. Logarithm worksheets are about logarithms, which is a quantity representing the power to which a fixed number (the base) must be raised to produce a. You will need to be able to write out a logarithmic equation, define a.

Web Fully Editable Guided Notes And Practice Worksheet For Teaching The Properties Of Logarithms.


Algebra 2 > unit 8. Web logarithms are the inverses of exponents. Gain some practice evaluating logarithms through this quiz/worksheet.

Great Amount Of Differents Resources On Logs.


Each one has model problems worked out step by step, practice problems, as well as challenge questions at the sheets end. Web here is a set of practice problems to accompany the solving logarithm equations section of the exponential and logarithm functions chapter of the notes for. Web 1) use the product rule to rewrite a sum as the logarithm of a single number log 4 3 + log 4 5.